مبانی نور: از انرژی الکترومغناطیس تا شکست در فیبر نوری(1)
مبانی نور: از انرژی الکترومغناطیس تا شکست در فیبر نوری(1)
حتی ساده ترین اتصال فیبر نوری هم نتیجه ی طراحی خلاقانه، ساخت دقیق، و مهارت فنی بالا میباشد. یکی از دلایلی که ارتباطات فیبر نوری میتواند داده ها را با سرعت بالا و در فاصلههای طولانی منتقل کند، دانشی است که درباره ی ویژگیهای نور داریم. در این سیستمها، فیبر نوری مسیر عبور نور است و نور وسیله ای است که اطلاعات را حمل میکند. چون نور طول موج بسیار کوتاه و سرعت بسیار زیادی دارد، میتواند پهنای باندی را فراهم کند که در روشهای دیگر انتقال اطلاعات ، امکانپذیر نمیباشد.
برای اینکه بهترین عملکرد را از هر بخش از سیستم فیبر نوری بگیرید، باید با ویژگیهای نور و عواملی که بر آن تأثیر میگذارند، آشنا شوید.
در این مقاله با موضوعاتی آشنا میشوید مانند:
- تبدیل طول موجها به فرکانس و برعکس
- محاسبه انرژی یک فوتون با استفاده از ثابت پلانک
- محاسبه سرعت نور در مواد شفاف با توجه به ضریب شکست آنها
- محاسبه زاویه بحرانی نور با استفاده از قانون اسنل
- محاسبه میزان افت نور هنگام بازتابش (بازتاب فرزنیل)
تفاوتی ندارد چه نور از خورشید باشد، چه از یک لامپ یا حتی یک لیزر، در اصل همگی نوعی ازانرژی الکترومغناطیسی هستند. هر چیزی که دمایی بالاتر از صفر مطلق (۲۷۳.۱۵- درجه سلسیوس) داشته باشد، این نوع انرژی را منتشر میکند. چون اتمهای آن در حال حرکت هستند، الکترونهایی که به دور هستهی اتم میچرخند، انرژی میگیرند و به سطوح بالاتری میروند. وقتی دوباره به سطح اولیه برمیگردند، این انرژی را به صورت نور آزاد میکنند.
نور، شکلی از انرژی الکترومغناطیسی
این انرژی به شکل دو میدان ایجاد میشود: یکی میدان الکتریکی و دیگری میدان مغناطیسی که هر دو عمود بر هم و عمود بر مسیر حرکت نور هستند، همانطور که در شکل 3.1 نشان داده شده است.

ترکیب این دو میدان، موج الکترومغناطیسی را تشکیل میدهد که در خلأ یا هوا با سرعتی حدود ۳۰۰٬۰۰۰ کیلومتر بر ثانیه حرکت میکند.
طول موج و فرکانس
(مقاله مبانی نور: از انرژی الکترومغناطیس تا شکست در فیبر نوری(1) )
در ارتباطات فیبر نوری، برای توصیف انرژی الکترومغناطیسی از طول موج (λ) و فرکانس (f) استفاده میشود. معمولاً از طول موج برای بیان مشخصات خروجی منبع نوری استفاده میشود و فرکانس برای مشخصکردن فاصلهی کانالها در سیستمهای DWDM (تقسیم طول موج متراکم) بهکار میرود.
با اینکه انرژی الکترومغناطیسی ماهیتی سهبعدی دارد، اغلب بهصورت یک موج سینوسی دوبعدی نمایش داده میشود؛ در این حالت، طول موج فاصله بین دو نقطهی مشابه در دو موج متوالی است، همانطور که در شکل 3.2 نشان داده شده است.
بسته به طول موج، انرژی الکترومغناطیسی میتواند به شکلهای مختلفی مانند امواج رادیویی، امواج مایکروویو، امواج نوری، اشعه ایکس و غیره ظاهر شود.

اهمیت طول موج و رابطه آن با فرکانس
طول موج اهمیت زیادی دارد، چون به ما امکان میدهد فرکانس انرژی الکترومغناطیسی را محاسبه کنیم. فرکانس بهمعنای تعداد موجهایی است که در هر ثانیه از یک نقطه عبور میکنند. فرکانس با واحد دور بر ثانیه یا هرتز (Hz) اندازهگیری میشود.
رابطهی بین طول موج و فرکانس را میتوان بهصورت زیر بیان کرد:
λ=v/f
که در آن:
- λ طول موج است،
- v سرعت موج (معمولاً سرعت نور در خلأ یا هوا، حدود ۳۰۰٬۰۰۰ کیلومتر در ثانیه(
- f فرکانس موج.
همچنین میتوان فرکانس را از روی طول موج محاسبه کرد:
f= λ/v
مثال: یکی از منابع نوری فروسرخ که در فیبر نوری استفاده میشود، طول موجی برابر ۱۳۱۰ نانومتر (یعنی یک میلیاردیم متر) دارد. این مقدار متناظر با فرکانسی در حدود ۲۲۹ تراهرتز (THz) یا ۲۲۹ تریلیون هرتز است.
این رابطه پایهای برای درک عملکرد سیستمهای فیبر نوری بسیار مهم است.
بسیاری از اصطلاحاتی که برای بیان طول موجها و فرکانسهای الکترومغناطیسی بهکار میروند، به ضرایب بزرگی از چرخهها (فرکانس) یا کسریهای کوچکی از متر (طول موج) اشاره دارند. برای درک بهتر این اصطلاحات، آشنایی با پیشوندهایی که همراه با آنها استفاده میشوند، بسیار مفید است.
هر پیشوند، یک ضرب در توان ۱۰ یا تقسیم بر توان ۱۰ (مثلاً ۱/۱۰۰۰) را در واحد اندازه گیری، مانند متر یا دور در ثانیه (چرخه) اعمال میکند. برخی از این اصطلاحات ممکن است برای شما آشنا باشند، مثل:
- کیلومتر که به معنای هزار متر است،
- یا سانتیمتر که برابر با یک صدم متر میباشد.
در اینجا، فهرستی از این پیشوندها همراه با معادل آنها به زبان فارسی و معادل ریاضیشان، به ترتیب از بزرگ ترین به کوچک ترین مقدار آورده شده است:


به شکل 3.3 توجه کنید:
هرچه طول موج کوتاهتر شود، تعداد بیشتری از موجها در هر ثانیه از یک نقطه عبور میکنند. این یعنی فرکانس افزایش مییابد وقتی که طول موج کاهش پیدا میکند.
اما برعکس آن نیز صادق است: اگر طول موج بلند تر شود، تعداد موجهایی که در یک ثانیه عبور میکنند کمتر میشود، بنابراین فرکانس کاهش مییابد با افزایش طول موج.
این رابطهی معکوس بین طول موج و فرکانس، یکی از اصول کلیدی در درک رفتار امواج الکترومغناطیسی است.

(مقاله مبانی نور: از انرژی الکترومغناطیس تا شکست در فیبر نوری(1) )
برای روشن تر شدن موضوع، سیگنالی که از یک ایستگاه رادیویی AM با فرکانس ۸۹۰ کیلوهرتز (۸۹۰,۰۰۰ هرتز) ارسال میشود، طول موجی برابر با ۳۳۷.۱ متر دارد. اگر فرکانس بالاتری مثل ۹۶۰ کیلوهرتز انتخاب کنیم، طول موج به ۳۱۲.۵ متر کاهش مییابد. همچنین اگر فرکانس پایینتری مانند ۵۶۰ کیلوهرتز را انتخاب کنیم، طول موج افزایش یافته و به ۵۳۵.۷ متر میرسد.
این مثال به خوبی نشان میدهد که با افزایش فرکانس، طول موج کاهش و با کاهش فرکانس، طول موج افزایش مییابد.
ویژگیهای تابش الکترومغناطیسی
تابش الکترومغناطیسی، مانند بیشتر انرژیهای تابشی، هم ویژگیهای موجی دارد و هم ویژگیهای ذرهای.
- بهعنوان یک موج، این انرژی از طریق یک محیط منتقل میشود و انرژی را منتقل میکند بدون اینکه محیط را بهطور دائمی جابهجا کند.
- اما بهعنوان یک ذرهی بدون جرم به نام فوتون، این انرژی در قالب یک الگوی موجی حرکت میکند و با سرعت نور حرکت میکند.
فوتون که هنگام تغییر سطح انرژی یک الکترون منتشر میشود، واحد بنیادی یا کوانتوم انرژی الکترومغناطیسی است. مقدار انرژی هر فوتون بستگی به فرکانس انرژی الکترومغناطیسی دارد: هرچه فرکانس بالاتر باشد، انرژی فوتون بیشتر است.
برای بیان مقدار انرژی یک فوتون از رابطه زیر استفاده میکنیم:
E=hf
که در آن:
- E انرژی به واحد وات است،
- h ثابت پلانک است که مقدار آن 6.626×10−34 – ژول-ثانیه میباشد،
- Fفرکانس انرژی الکترومغناطیسی است.
برای مثال، انرژی فوتون نور فروسرخ با فرکانس ۲۲۹ تراهرتز برابر است با:
(2.29×1014)×(6.626×10−34)=1.517×10−19 وات
این مقدار نشان میدهد که انرژی هر فوتون به شدت به فرکانس آن وابسته است.
بسیاری از مفاهیمی که در زمینه فیبر نوری امروز بهعنوان بدیهیات میپذیریم، نتیجه تلاشهای پیشگامان فیزیک در اواخر قرن نوزدهم و اوایل قرن بیستم است.
واحد انرژی ژول به افتخار جیمز پرسکات ژول نامگذاری شده است؛ او رابطه بین گرما و کار مکانیکی را بررسی کرد. یک ژول برابر است با مقدار کاری که برای تولید یک وات توان در یک ثانیه لازم است.
ثابت پلانک در سال ۱۸۹۹ توسط ماکس پلانک، برنده جایزه نوبل و بنیانگذار نظریه کوانتوم، تعریف شد.
طیف الکترومغناطیسی
(مقاله مبانی نور: از انرژی الکترومغناطیس تا شکست در فیبر نوری(1) )
در سال ۱۹۶۴، دانشمندانی در آزمایشگاههای بل در نیوجرسی به طور تصادفی تابش الکترومغناطیسیای را کشف کردند که مربوط به آغازهای اولیه جهان ما بود. این تابش که توسط برخی نظریههای کیهانشناسی پیشبینی شده بود، توسط اتمهای هیدروژن در دمای حدود ۳ درجه کلوین (K) یا منفی ۲۷۰.۱۵ درجه سانتیگراد ساطع میشود و شواهد عملی است که نشان میدهد هر جسمی با دمای بالاتر از صفر مطلق، انرژی الکترومغناطیسی منتشر میکند.
طول موجهای ساطع شده توسط اتمهای هیدروژن کیهانی، که حدود ۰.۵ تا ۵ میلیمتر هستند، در محدوده مایکروویو طیف الکترومغناطیسی قرار دارند؛ این محدوده درست بالاتر از امواج رادیویی از نظر فرکانس و کمی پایینتر از نور مادون قرمز است.
برخی ویژگیهای انرژی الکترومغناطیسی در فضای آزاد به طول موج بستگی دارد. معمولاً فضای آزاد به معنای محیط خلأ است، اما در ارتباطات نوری فضای آزاد ممکن است به هوا یا محیط مشابهی نیز اشاره داشته باشد. همانطور که آموختهایم، ارتباطات نوری همچنین میتواند در فضایی کنترلشده مانند فیبر نوری انجام شود. در انتقال فضای آزاد، ممکن است نتوان محیط را به اندازه فضای کنترلشده مدیریت کرد؛ برای مثال، حداکثر فاصله انتقال سیگنال نوری در یک روز مهآلود کمتر از یک روز صاف خواهد بود. اما انتقال در داخل فیبر نوری تحت تأثیر شرایط جوی قرار نمیگیرد.
طول موجهای بلندتر برای انتشار، انرژی کمتری نسبت به طول موجهای کوتاهتر با همان دامنه نیاز دارند، که این ویژگی آنها را برای ارتباطات در فواصل طولانی مناسب میکند. همچنین بر اساس همین قاعده، ذرات تابش الکترومغناطیسی با فرکانس بالاتر انرژی بیشتری نسبت به ذرات تابش با فرکانس پایینتر و همان دامنه دارند. این نکته در تعیین طول موج مناسب برای انتقال در فیبر نوری بسیار اهمیت دارد.
در زمینه فیبر نوری، اعداد با بازههای بسیار وسیعی استفاده میشوند. ممکن است طول یک کابل را به کیلومتر و طول موج نور را به نانومتر بیان کنید. در ادامه، فهرستی از پیشوندهای رایج در فیبر نوری همراه با مثالهایی از کاربرد هر کدام آورده شده است:
| پیشوند | برای توصیف چه چیزی استفاده میشود؟ | مثال |
| تِرا- | فرکانس نور به تراهرتز (THz) | فرکانس نور در تراهرتز |
| گیگا- | پهنای باند یک لینک به گیگابیت بر ثانیه (Gbps) | پهنای باند لینک به گیگابیت بر ثانیه |
| مگا- | پهنای باند فیبر نوری به مگاهرتز (MHz) | پهنای باند فیبر به مگاهرتز |
| کیلو- | طول کابل فیبر نوری به کیلومتر (km) | طول کابل فیبر به کیلومتر |
| سانتی- | شعاع خم کابل فیبر نوری به سانتیمتر (cm) | شعاع خم کابل به سانتیمتر |
| میلی- | قطر کابل فیبر نوری به میلیمتر (mm) | قطر کابل به میلیمتر |
| میکرو- | قطر فیبر نوری به میکرومتر (μm) | قطر فیبر به میکرومتر |
| نانو- | طول موج نور به نانومتر (nm) | طول موج نور به نانومتر |
| پیکو- | پراکندگی نور به پیکوثانیه (ps) | پراکندگی نور به پیکوثانیه |
این پیشوندها کمک میکنند که اعداد بسیار بزرگ یا بسیار کوچک را به شکلی ساده و قابل فهم بیان کنیم.
این انتقالها شامل روشن و خاموش کردن حامل یا نور با نرخهای سوئیچینگ بسیار بالا هستند. برای رسیدن به نرخهای بالاتر مورد نیاز در ارتباطات، فرکانسهای بالاتر نور لازم است تا چرخهی بسیار کوتاه «روشن» انرژی کافی برای شناسایی داشته باشد.
همچنین به خاطر داشته باشید که فرکانسهای بالاتر میتوانند دادههای بیشتری را منتقل کنند، چون تعداد موجهای بیشتری در هر ثانیه اجازه میدهد بیتهای بیشتری در هر ثانیه منتقل شود. این حقیقت اصل کلیای است که ابتدا در رادیو و سپس در تلویزیون به کار رفت، جایی که برای انتقال حجم بیشتر اطلاعات، از فرکانسهای بالاتر استفاده شد.
آنچه ما معمولاً «نور» مینامیم، تنها بخش کوچکی از طیف الکترومغناطیسی است که در شکل ۳.۴ نشان داده شده است. نور مرئی حتی بخش کوچکتری از این طیف است که از یک سو به نور مادون قرمز با طول موجهای بلندتر و از سوی دیگر به نور فرابنفش با طول موجهای کوتاهتر محدود میشود.

(مقاله مبانی نور: از انرژی الکترومغناطیس تا شکست در فیبر نوری(1) )
طول موجهایی که معمولاً در فیبر نوری استفاده میشوند، در محدوده مادون قرمز قرار دارند، به ویژه در بازههایی مانند ۸۵۰ نانومتر، ۱۳۰۰ نانومتر و ۱۵۵۰ نانومتر. این بازه طیفی ترکیبی مهم از ویژگیها را ارائه میدهد: فرکانس آنها به اندازه کافی بالا است که امکان انتقال داده با سرعت زیاد را فراهم کند، و در عین حال به اندازهای پایین است که برای انتقال در فواصل طولانی به توان نسبتاً کمی نیاز دارد.
(پنجرههای انتقال به عنوان روشی برای استانداردسازی طول موجهای مفید در فیبر نوری ایجاد شدند تا ساخت تجهیزات سازگار و قابل تعامل را آسانتر کنند.)
پنجرههای طول موج خاص به این دلیل انتخاب شدهاند که بهترین ویژگیهای ممکن برای انتقال را فراهم میکنند. حتی در بازه بین ۸۵۰ نانومتر تا ۱۵۵۰ نانومتر، برخی مناطق دارای تلفات بالایی هستند؛ بهعنوان مثال، مولکولهای آب پراکنده در فیبر نور را در طول موج ۱۳۸۰ نانومتر جذب میکنند و باعث افزایش تلفات میشوند.
از سوی دیگر، طول موجهایی مانند ۱۵۵۰ نانومتر به دلیل تلفات پایینتر ترجیح داده میشوند که این امکان را فراهم میکند تا فاصلههای انتقال طولانیتری داشته باشیم.
همچنین، طول موجهای نزدیک به ۱۳۰۰ نانومتر کمتر تحت تأثیر پراکندگی قرارمیگیرند.
شکست نور (Refraction)
(مقاله مبانی نور: از انرژی الکترومغناطیس تا شکست در فیبر نوری(1) )
شکست نور یا تغییر جهت نور زمانی رخ میدهد که سرعت نور هنگام عبور از یک ماده به مادهی دیگر تغییر کند. این پدیده یکی از اصول کلیدی در انتقالهای فیبر نوری است.
اصل شکست نور همان دلیلی است که باعث میشود اجسام زیر آب به نظر خمیده یا شکسته بیایند، همانطور که در شکل ۳.۵ نشان داده شده است. این اصول دقیقاً همان چیزی هستند که باعث میشوند نور حتی در هنگام عبور از خمیدگیهای فیبر نوری، در هستهی فیبر نگه داشته شود و از آن خارج نشود.
.

(مقاله مبانی نور: از انرژی الکترومغناطیس تا شکست در فیبر نوری(1) )
علت شکست نور چیست؟
(مقاله مبانی نور: از انرژی الکترومغناطیس تا شکست در فیبر نوری(1) )
شکست نور زمانی رخ میدهد که امواج نوری هنگام عبور از یک ماده به مادهای دیگر با ضریب شکست متفاوت (یا شاخص انکسار nnn)، سرعت خود را تغییر میدهند. معمولاً ما سرعت نور را ثابت و برابر حدود ۳۰۰,۰۰۰ کیلومتر بر ثانیه (دقیقتر: ۲۹۹,۷۹۲.۴۵۸ کیلومتر بر ثانیه) در نظر میگیریم، اما این سرعت، سرعت نظری و حداکثری نور است که فقط در خلأ (وکیوم) برقرار است. در واقعیت، نور در مواد و محیطهای مختلف مانند جو زمین، شیشه، پلاستیک و آب با سرعت کمتری حرکت میکند.
رسانا یا محیط هر ماده یا فضای قابل عبور برای تابش الکترومغناطیسی است. سرعت نور در یک محیط خاص توسط ضریب شکست آن محیط تعیین میشود. نور در محیطی که ضریب شکست بالاتری دارد، کندتر حرکت میکند و در محیطی با ضریب شکست پایینتر، سریعتر حرکت میکند. نکته مهم این است که اگر نور از محیطی با ضریب شکست پایینتر وارد محیطی با ضریب شکست بالاتر شود، سرعت آن کاهش مییابد، اما هنگام عبور از محیطی با ضریب شکست بالاتر به محیطی با ضریب شکست پایینتر، سرعت نور دوباره افزایش مییابد (شکل ۳.۶ را ببینید)

(مقاله مبانی نور: از انرژی الکترومغناطیس تا شکست در فیبر نوری(1) )
زمانی که نور هنگام عبور از یک محیط به محیط دیگر سرعت خود را تغییر میدهد، شکست نور رخ میدهد. میزان شکست نور بستگی به تفاوت نسبی سرعت نور در دو محیط دارد؛ هر چه این تفاوت بیشتر باشد، شکست نور نیز بیشتر خواهد بود.
در شکل ۳.۵ که قبلاً مشاهده کردید، قسمت از پارویی که در آب قرار دارد به نظر خمیده میرسد، زیرا پرتوهای نور بازتابیده شده از آن هنگام عبور از مرز بین آب و هوا خمیده میشوند، همانطور که در شکل ۳.۷ نشان داده شده است. همچنین توجه کنید که بخش زیر آب پارو نیز به دلیل خمیده شدن پرتوهای نور بازتابیده شده، به صورت نامنظم و تحریف شده دیده میشود.
برای توضیح شکست نور باید به ماهیت موجی نور نگاه کنیم. به یاد داشته باشید که نور از دو موج متعامد تشکیل شده و مسیر حرکت نور بر زاویه قائمه با هر دو موج است.
وقتی موج نور به مرز بین دو محیط با ضریب شکست متفاوت میرسد، قسمتی از موج نور که با این مرز تماس پیدا میکند، سرعتش تغییر میکند یا به عبارت دیگر، سرعت فازی آن دچار تغییر میشود، در حالی که بقیه موج نور سرعت اولیه خود را حفظ میکند. تغییر در سرعت فازی معمولاً باعث تغییر جهت موج نور میشود که این پدیده توسط قانون اسنل توصیف میشود .
شکل ۳.۸ نشان میدهد چگونه موجهای نوری به دلیل تغییر سرعت فازی هنگام عبور از محیطی با ضریب شکست کمتر به محیطی با ضریب شکست بالاتر، تغییر جهت میدهند.
شکل ۳.۷: پرتوهای نور بازتابیده شده از پارو هنگام عبور از آب به هوا دچار شکست میشوند
.

(مقاله مبانی نور: از انرژی الکترومغناطیس تا شکست در فیبر نوری(1) )
شکل ۳.۷: پرتوهای نور بازتابیده شده از پارو هنگام عبور از آب به هوا دچار شکست میشوند.
شکل ۳.۸: موجهای نور که به دلیل تغییر سرعت فازی، هنگام عبور از یک محیط با ضریب شکست کمتر به محیطی با ضریب شکست بالاتر، جهت خود را تغییر میدهند.

(مقاله مبانی نور: از انرژی الکترومغناطیس تا شکست در فیبر نوری(1) )
سرعت نور هنگام عبور از محیطهای مختلف مانند شیشه به طول موج نور بستگی دارد. یکی از رایجترین روشها برای مشاهده این پدیده، عبور نور سفید از یک منشور و شکسته شدن آن به طول موجهای تشکیلدهندهاش است، همانطور که در شکل ۳.۹ نشان داده شده است. توجه کنید که نور بنفش که کوتاهترین طول موج قابل رؤیت را دارد، بیشترین میزان شکست را دارد. نور بنفش که کوتاهترین طول موج قابل رؤیت را دارد، بیشتر از نور قرمز که طول موج قابل رؤیت بلندتری دارد، خمیده میشود.
در این مثال، نور قرمز کمترین تغییر جهت را دارد و سریعترین سرعت را در منشور دارد، در حالی که نور بنفش بیشترین تغییر جهت را دارد و کندترین سرعت را در منشور تجربه میکند.
شکل ۳.۹: شکست نور سفید به رنگهای تشکیلدهنده آن (رنگینکمان نور) هنگام عبور از منشور.

مهم است که به خاطر بسپارید طول موجهای مختلف نور در یک فیبر نوری با سرعتهای متفاوتی حرکت میکنند.
محاسبه ضریب شکست
(مقاله مبانی نور: از انرژی الکترومغناطیس تا شکست در فیبر نوری(1) )
ما میدانیم سرعت نور میتواند تغییر کند و این سرعت بستگی به طول موج نور و ضریب شکست محیطی دارد که نور از آن عبور میکند. همچنین میدانیم هر چه ضریب شکست بیشتر باشد، نور کندتر حرکت میکند. به عبارت دیگر، سرعت نور (c) در یک محیط نسبت عکس با ضریب شکست آن محیط دارد.
مهم است که بتوانیم ضریب شکست مواد مختلف را مشخص کنیم. اندازهگیریهای استاندارد ضریب شکست معمولاً در طول موج ۵۸۹ نانومتر انجام میشود. ضریب شکست برای طول موجهای بالاتر یا پایینتر از ۵۸۹ نانومتر ممکن است کمی متفاوت باشد.
جدول ۳.۱ سرعت نور و ضریب شکست برخی از مواد رایج را نشان میدهد.
جدول ۳.۱: ضرایب شکست مواد مختلف
این جدول اطلاعات مربوط به سرعت نور و ضریب شکست برخی مواد رایج را نشان میدهد:


(مقاله مبانی نور: از انرژی الکترومغناطیس تا شکست در فیبر نوری(1) )
این اعداد نشان میدهند که سرعت نور در مواد مختلف چقدر کاهش مییابد و ضریب شکست آنها چگونه است. هرچه ضریب شکست بالاتر باشد، نور با سرعت کمتری در آن ماده حرکت میکند.
ضریب شکست یک مقدار نسبی است و بر اساس سرعت نور در خلأ تعریف میشود، که ضریب شکست آن برابر با ۱ در نظر گرفته میشود. میتوان ضریب شکست یک ماده را با استفاده از رابطه زیر محاسبه کرد:
n=c/v
که در آن:
- nضریب شکست ماده است
- c سرعت نور در خلأ (حدود ۳۰۰٬۰۰۰ کیلومتر بر ثانیه)
- v سرعت نور درون ماده مورد نظر است
بنابراین اگر نور از مادهای فرضی با سرعت ۲۳۰٬۰۰۰ کیلومتر بر ثانیه عبور کند، ضریب شکست آن ماده به شکل زیر محاسبه میشود:
n=300000/230000=1.3
برای محاسبه میزان شکست نوری که هنگام عبور نور از یک ماده به مادهای دیگر رخ میدهد، نیاز به یک مدل و تعدادی اصطلاح پایه داریم.
مدل مورد نظر (مطابق با شکل 3.10) عبور نور از محیطی با ضریب شکست پایینتر (n1) به محیطی با ضریب شکست بالاتر (n2) را نشان میدهد. مرز بین این دو محیط با یک خط افقی نمایش داده میشود.
مسیر عمود بر این مرز را خط عمود (normal) مینامند. نوری که دقیقاً در راستای این خط عمود حرکت کند، فقط سرعتش تغییر میکند ولی جهت حرکتش تغییری نخواهد کرد.
- زاویهی تابش (angle of incidence): زاویهای است که بین پرتو تابشی و خط عمود تشکیل میشود.
- زاویهی شکست (angle of refraction): زاویهای است که بین پرتو شکستهشده و خط عمود تشکیل میشود.
همچنین مقدار کمی از نور در نقطهی برخورد بازتاب میشود که زاویهی آن برابر با زاویهی تابش است.
بازتاب کامل داخلی (Total Internal Reflection)
همانطور که در شکل 3.10 نشان داده شده است، وقتی نور از محیطی با ضریب شکست پایینتر به محیطی با ضریب شکست بالاتر عبور میکند، نور به سمت خط عمود (normal) خم میشود. این موضوع با زاویه شکست (θ₂) که کمتر از زاویه تابش (θ₁) است، نمایش داده میشود.
اما هنگامی که نور از محیطی با ضریب شکست بالاتر به محیطی با ضریب شکست پایینتر وارد میشود — همانگونه که در شکل 3.11 دیده میشود — مسیر نور از خط عمود دور میشود؛ یعنی نور از خط عمود خم میشود و زاویهی شکست بزرگتر از زاویهی تابش خواهد بود.
این پدیده پایهای برای درک و استفاده از بازتاب کامل داخلی است، که در گام بعدی توضیح داده میشود و نقش کلیدی در انتقال نور درون فیبر نوری ایفا میکند.
شکل 3.10: مدل مورد استفاده برای محاسبهی شکست نور
این شکل معمولاً شامل موارد زیر است:
- دو محیط مختلف که با یک خط افقی از هم جدا شدهاند:
- محیط اول با ضریب شکست پایینتر (n₁)
- محیط دوم با ضریب شکست بالاتر (n₂)
- پرتو تابشی (Incident Ray) که از محیط n₁ به سمت سطح مرز حرکت میکند.
- پرتو شکستهشده (Refracted Ray) که در محیط دوم (n₂) ادامه مییابد و مسیر آن خم شده است.
- خط عمود (Normal Line) که یک خط فرضی عمود بر سطح جداکنندهی دو محیط است.
- زاویه تابش (θ₁) که بین پرتو تابشی و خط عمود اندازهگیری میشود.
- زاویه شکست (θ₂) که بین پرتو شکستهشده و خط عمود اندازهگیری میشود.
در این مدل، نور هنگام عبور از محیط n₁ (مثلاً هوا) به محیط n₂ (مثلاً شیشه)، سرعتش کاهش مییابد و به سمت خط عمود خم میشود. این مدل برای درک قوانین شکست نور و استفاده از قانون اسنل (Snell’s Law) بسیار کاربردی است.

(مقاله مبانی نور: از انرژی الکترومغناطیس تا شکست در فیبر نوری(1) )
شکل 3.11: عبور نور از محیطی با ضریب شکست بالاتر به محیطی با ضریب شکست پایینتر
در این شکل، نشان داده میشود که وقتی نور از یک محیط با ضریب شکست بالاتر (مثل شیشه) وارد محیطی با ضریب شکست پایینتر (مثل هوا) میشود، نور:
- از خط عمود دور میشود (یعنی زاویه شکست بیشتر از زاویه تابش میشود)
- مسیر نور بهسمت خارج از خط عمود منحرف میگردد
این پدیده اساس شکلگیری بازتاب کامل داخلی در فیبر نوری است. اگر زاویه تابش از یک مقدار مشخص (زاویه بحرانی) بیشتر شود، نور بهجای عبور، بهطور کامل بازتاب میشود و وارد محیط دوم نمیگردد، که در شکلهای بعدی توضیح داده خواهد شد.

(مقاله مبانی نور: از انرژی الکترومغناطیس تا شکست در فیبر نوری(1) )
ما میتوانیم میزان شکست نور را با استفاده از قانون اسنل (Snell’s Law) محاسبه کنیم که رابطه بین نور تابشی و نور شکستهشده را نشان میدهد:
n1sinθ1=n2sinθ2 که در آن: n1وn2 ضریب شکست دو ماده هستند، θ1 زاویه تابش نور نسبت به خط عمود (نرمال) است، θ2 زاویه شکست نور در محیط دوم است. بازتاب کامل داخلی (Total Internal Reflection – TIR) پدیدهای که امکان انتقال نور از طریق فیبر نوری را فراهم میکند، بازتاب کامل داخلی است. این پدیده نیز از اصول مشابه با شکست نور پیروی میکند:
در حالت بازتاب کامل داخلی، نور از محیطی با ضریب شکست بالاتر به محیطی با ضریب شکست پایینتر عبور میکند.
اگر زاویه تابش به حدی برسد که زاویه شکست θ2 برابر با 90 درجه شود، به آن زاویه بحرانی (Critical Angle) میگویند. اگر زاویه تابش از زاویه بحرانی بیشتر شود، نور بهجای عبور به محیط دوم، کاملاً بازتاب میشود. شکل 3.12: بازتاب نور در زاویهای بیش از زاویه بحرانی در این شکل نشان داده شده که وقتی زاویه تابش از زاویه بحرانی بیشتر میشود، دیگر هیچ نوری وارد محیط دوم نمیشود و تمام نور در سطح مشترک بازتاب میشود. این اصل کلیدی، اساس عملکرد فیبر نوری در نگهداشتن نور درون هسته فیبر است.

(مقاله مبانی نور: از انرژی الکترومغناطیس تا شکست در فیبر نوری(1) )
برای محاسبهی زاویه بحرانی (Critical Angle) بین دو ماده، میتوانیم از نسخهی تغییریافتهای از قانون اسنل استفاده کنیم:
θc=arcsin (n2/n1) که در آن:
θc زاویه بحرانی نسبت به خط عمود (نرمال) است،
n1ضریب شکست مادهای است که نور از آن خارج میشود (در اینجا، هستهی فیبر)،
n2ضریب شکست مادهای است که نور به آن وارد میشود (در اینجا، روکش فیبر).
مثال:(مقاله مبانی نور: از انرژی الکترومغناطیس تا شکست در فیبر نوری(1) )
اگر بخواهیم زاویه بحرانی یک فیبر نوری را بدانیم که ضریب شکست هستهاش n1=1.5 و ضریب شکست روکش n2=1.46 باشد، داریم:
θc=arcsin (1.46/1.5)= 76.7
نتیجه:
(مقاله مبانی نور: از انرژی الکترومغناطیس تا شکست در فیبر نوری(1) )
در این مثال، اگر نوری با زاویهای بیشتر از 76.7 درجه نسبت به خط عمود در داخل هسته حرکت کند، آن نور از سطح مشترک با روکش بازتاب کامل خواهد داشت.
تا زمانی که این سطح مشترک موازی باقی بماند، نور با همان زاویه بهطور مداوم بازتاب میشود؛ پدیدهای که در شکل 3.13: بازتاب کامل داخلی (Total Internal Reflection) نمایش داده شده است.
این اصل، پایهی عملکرد فیبر نوری در هدایت نور بدون اتلاف است.
شکل 3.13: بازتاب کامل داخلی (Total Internal Reflection)
این شکل نشان میدهد که چگونه نور درون هستهی فیبر نوری، هنگام برخورد به مرز بین هسته و روکش، در صورتی که زاویهی برخورد از زاویهی بحرانی بیشتر باشد، بهطور کامل به داخل هسته بازتاب میشود.
توضیح تصویری:
- نور با زاویهای بزرگتر از زاویه بحرانی به مرز برخورد میکند.
- بهجای شکست به داخل روکش، بهطور کامل بازتاب میشود.
- این فرآیند بهطور پیدرپی ادامه دارد، مشروط بر آنکه نور درون هسته باقی بماند و بهصورت پیوسته از سطح داخلی روکش بازتاب شود.
بازتاب کامل داخلی، اصل بنیادی در عملکرد فیبر نوری است که اجازه میدهد نور بدون خروج از فیبر، حتی در مسیرهای طولانی، منتقل شود.

بازتاب فرنل (Fresnel Reflections)
(مقاله مبانی نور: از انرژی الکترومغناطیس تا شکست در فیبر نوری(1) )
به یاد داشته باشید که هنگام عبور نور از یک محیط به محیطی دیگر، طبق قانون اسنل، شکست رخ میدهد. با این حال، بازتابی نیز در این فرآیند اتفاق میافتد که به آن بازتاب فرنل (Fresnel Reflection) گفته میشود. بازتاب فرنل زمانی رخ میدهد که نور، هنگام عبور از مادهای با ضریب شکست مشخص به مادهای با ضریب شکست متفاوت، دچار تغییر سرعت میشود.
هرچه اختلاف ضریب شکست بین دو ماده بیشتر باشد، مقدار نور بازتابی نیز بیشتر خواهد بود.
شما بازتاب فرنل را زمانی تجربه میکنید که از پشت پنجره به بیرون نگاه میکنید و انعکاس ضعیفی از تصویر خود را در شیشه میبینید.
محاسبه میزان نور بازتابی فرنل
(مقاله مبانی نور: از انرژی الکترومغناطیس تا شکست در فیبر نوری(1) )
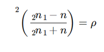
آگوستن-ژان فرنل رابطهای برای محاسبه مقدار نوری که در اثر بازتاب فرنل از دست میرود ارائه کرد:

- ρ مقدار نور بازتابی
- n1,n2ضریب شکست محیطها
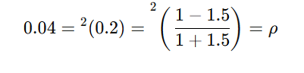
- مثال:
اگر نور از هوا با ضریب شکست ۱ وارد شیشه با ضریب شکست ۱٫۵ شود، داریم:

یعنی ۴٪ از نور بازتاب میشود.
محاسبه تلفات بازتاب در واحد دسیبل (dB)
(مقاله مبانی نور: از انرژی الکترومغناطیس تا شکست در فیبر نوری(1) )
برای محاسبه تلفات بازتاب در دسیبل، از رابطه زیر استفاده میشود:
dB=10log10(1−ρ)
با جایگذاری مقدار ρ = 0.04:
dB=10log10(0.96)=10×(–0.018)=–0.18dB
در نتیجه، تلفات بازتاب برابر است با ۰٫۱۸ دسیبل.
نکات کلیدی درباره بازتاب فرنل:
(مقاله مبانی نور: از انرژی الکترومغناطیس تا شکست در فیبر نوری(1) )
- بازتاب فرنل همیشه هنگام تغییر سرعت نور (افزایش یا کاهش سرعت) رخ میدهد.
- نور درون هسته فیبر نوری نسبت به هوا سرعت کمتری دارد. بنابراین اگر در محل اتصال دو فیبر، شکاف هوایی وجود داشته باشد، هنگام ورود و خروج نور از این شکاف، دو بازتاب فرنل پشت سر هم اتفاق میافتد.
- نور بازتابی از مسیر اصلی خارج میشود و به مقصد نمیرسد.
- بخشی از این نور ممکن است به سمت منبع بازگردد که در برخی منابع نوری ممکن است باعث مشکلاتی نظیر:
- تغییر طول موج
- کاهش توان خروجی شود.
کاهش بازتاب فرنل و بهبود اتصال
(مقاله مبانی نور: از انرژی الکترومغناطیس تا شکست در فیبر نوری(1) )
انتهای کانکتور (Connector Endface) همان قسمتی است که فیبر نوری در آن قرار دارد و در معرض اتصال قرار میگیرد. گاهی این سطح آسیب میبیند، اغلب بدون اینکه کاربر متوجه شود. این آسیب میتواند به دلایل زیر رخ دهد:
- وجود گرد و غبار یا آلودگی روی یک کانکتور هنگام اتصال با کانکتور دیگر
- اتصال یک کانکتور آسیبدیده به کانکتوری سالم
در هر صورت، نتیجه نهایی معمولاً کاهش شدید عملکرد اتصال فیبر نوری خواهد بود.
راهکار در شرایط بحرانی:
(مقاله مبانی نور: از انرژی الکترومغناطیس تا شکست در فیبر نوری(1) )
در پیوندهای حیاتی فیبر نوری که باید سریعاً بازیابی شوند، تعویض کانکتور آسیبدیده شاید ممکن نباشد. در چنین مواقعی، هرچند رایج نیست، میتوان از ژل تطبیقدهندهی ضریب شکست (Index Matching Gel) برای کاهش بازتاب فرنل استفاده کرد و اتصال را موقتاً احیا نمود.
این ژل، فضای خالی (شکاف هوا) موجود در محل اتصال را با مادهای پر میکند که ضریب شکست آن مشابه ضریب شکست هسته فیبر نوری است.
این کار میتواند تفاوت میان بازیابی موفق و شکست در بازیابی اتصال را رقم بزند.
(مقاله مبانی نور: از انرژی الکترومغناطیس تا شکست در فیبر نوری(1) )